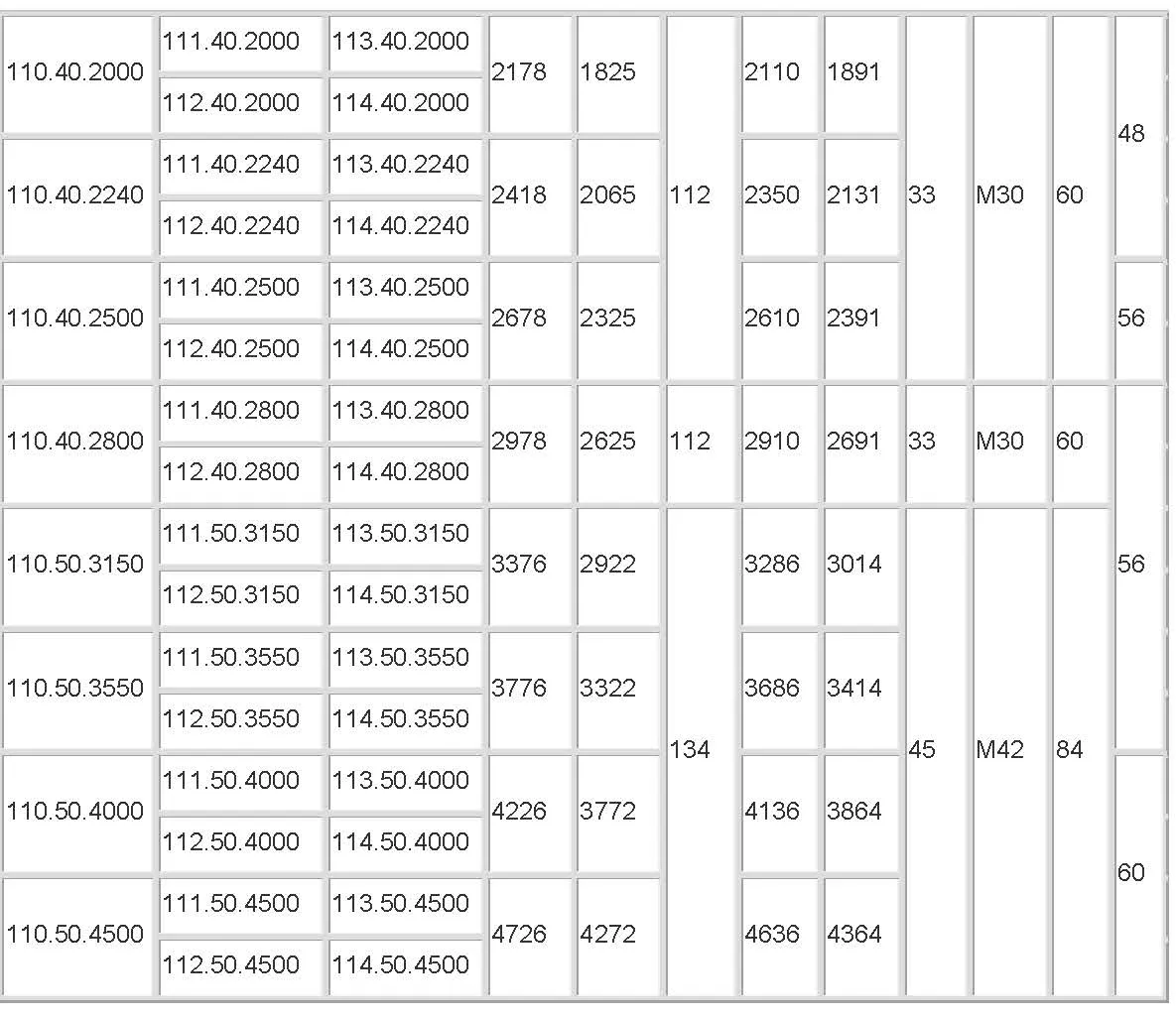
FINE single row cross roller slewing ring is mainly made up of inside and outside rings. It features compact in design, light in weight, small in assembling clearance, and high in installing precision. As the rollers are crossed arranged by 1:1, it is suitable for high precision mounting and capable to bear axial force, radial force and resultant torque simultaneously.
This series single row crossed roller slewing bearing have widely application in lift transport aircraft, construction machinery, and military products.
Three types of this kind of single row crossed roller slewing bearing:
A. Without gear bearing (non tooth)
B. External gear bearing (external tooth)
C. Internal gear bearing (internal tooth)
